锂同位素在低温地质过程中表现出明显分馏,被广泛用于示踪地壳循环与俯冲过程。传统观点认为高温岩浆体系中锂同位素分馏程度有限,但近年来在LCT伟晶岩中观测到−10‰至+20‰的巨大δ7Li变化,表明岩浆-热液演化过程中可能存在强烈的同位素再分配机制。进一步而言,锂在高度聚合的长英质熔体中以何种结构状态存在,不同岩浆-热液过程能够产生多大程度的平衡分馏,以及岩浆温度下动力学机制究竟可以造成多大程度的同位素偏移,仍缺乏系统的定量约束。
本研究以LCT型伟晶岩体系为背景,系统计算了28种典型含锂矿物、两种热液流体及两种代表性长英质熔体的锂同位素平衡分馏因子(图1)。长期以来,酸性岩浆体系的同位素分馏缺乏第一性原理的定量约束。本研究首次在长英质熔体中开展锂同位素分馏计算,并将二阶振动微扰方法(VPT2)分别应用于熔体与流体体系,对非谐效应进行校正。结合第一性原理分子动力学、密度泛函理论与数值模拟,构建了覆盖矿物-熔体-流体三相的多尺度定量框架。

图1 热液流体和长英质熔体的代表性构型
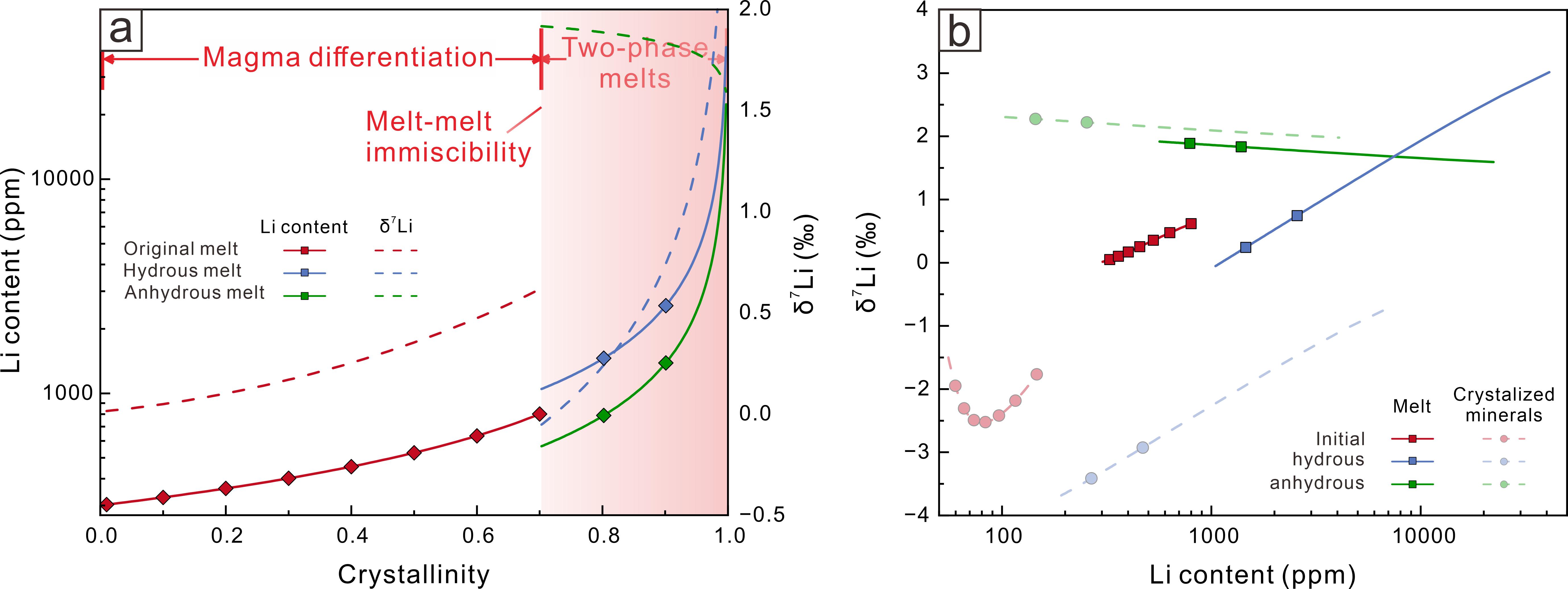
模拟结果显示,分离结晶过程中平衡分馏程度有限(−3.5‰至+1.5‰),难以单独解释天然伟晶岩中普遍观测到的大幅δ7Li变化(图2)。熔体液态不混溶可产生约6‰的中等分馏,但随着演化推进,两相熔体之间的同位素差异逐渐减弱(图3)。相比之下,流体出溶产生的同位素分馏最为显著,可超过10‰(图4)。同时,扩散过程在边界层及熔体-矿物界面可引入约3–8‰的动力学分馏,进一步放大局部的同位素差异(图5)。
综合来看,在川西甲基卡、美国Tin Mountain及新疆青河等典型伟晶岩矿床中观测到的超过10‰的锂同位素变化,可能主要受流体出溶及扩散相关的动力学效应控制。本研究深化了对伟晶岩体系中锂同位素行为的认识,表明锂同位素是重建岩浆-热液演化过程和解析锂成矿机制的有力工具。

图2 分离结晶过程中的Li同位素分馏

图3 岩浆液态不混溶过程中的Li同位素分馏

图4 流体出溶过程中的Li同位素分馏


图5 扩散相关的动力学分馏
本研究于2026年2月26日在线发表于《地球化学与宇宙化学学报》(Geochimica et Cosmochimica Acta,GCA)。bw必威西汉姆联官网博士生林和丰为论文第一作者,bw必威西汉姆联官网朱文斌教授和魏海珍教授为共同通讯作者,bw必威西汉姆联官网许志琴院士、徐夕生教授,英国南安普顿大学Martin R. Palmer教授,bw必威西汉姆联官网化学学院马晶教授,匡亚明学院陈爽副教授,河南理工大学李银川副教授,以及研究生左达昇、杨可为共同作者。
研究受到国家基金委重大研究计划“战略性关键金属超常富集成矿动力学”重点项目(批准号:92162211)、国家基金委重大研究计划“特提斯地球动力学” 重点项目(批准号:91955203)、国家自然科学基金面上项目(批准号:41973005)、bw必威西汉姆联官网“川西伟晶岩型锂矿科学钻探”卓越计划项目,以及bw必威西汉姆联官网关键地球物质循环前沿科学中心科研基金(批准号:2025-Z05)的联合资助。
全文链接为:https://doi.org/10.1016/j.gca.2026.02.035
图文:林和丰、朱文斌、魏海珍
审核:陈天宇

