博士生张诚成在土体变形光纤感测耦合机理研究方面取得新进展

发布者:刘文淑发布时间:2016-11-11浏览次数:6137

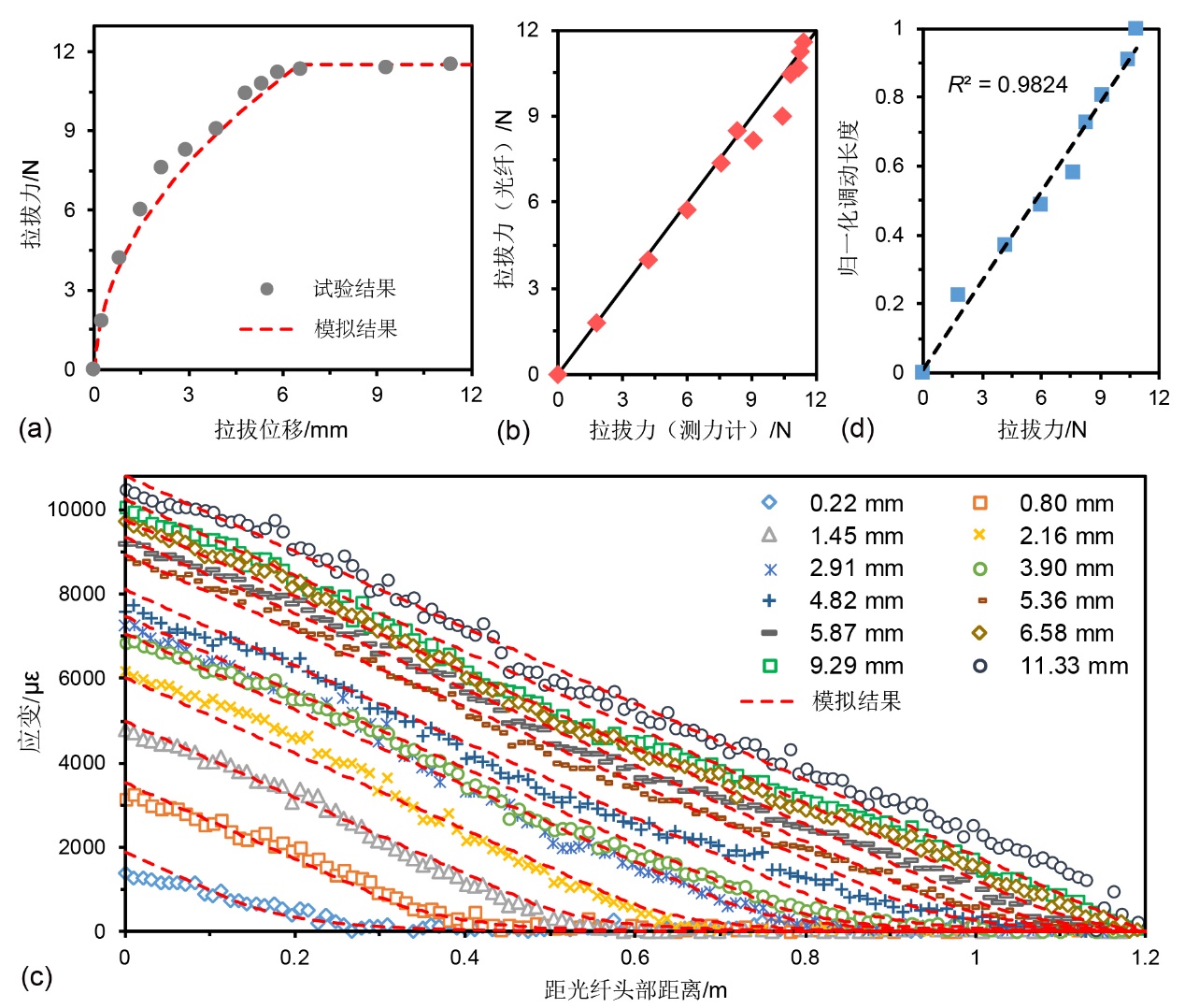
精确测量地质体的时空变形特征是地球科学基础研究和地质灾害防治必不可少的工作。最近,施斌教授团队博士生张诚成在朱鸿鹄副教授和施斌教授指导下,在室内砂土地基模型试验中发现:土体变形的分布式光纤监测(DFOS)结果与采用粒子图像测速(PIV)技术获得的标定数据之间存在一定的偏差。于是他们系统研究了土体与分布式应变感测光纤之间的变形耦合问题,并以感测光纤–土体界面状态为着眼点,探究了界面力学性质在土体密实度、含水率和围压变化以及土体变形等内外因素作用下的演化规律。他们以5厘米空间分辨率捕捉到了土体变形破坏过程中分布式感测光纤应变的分布特征及其演化过程(图1)。研究发现,在土体变形过程中纤土界面存在两个应力状态截然不同的区段。在土体变形较大处,应变沿光纤呈线性分布,这表明纤–土界面已进入塑性应力状态,且该区随着土体变形增大而不断地扩展。在此基础上,他们在国际上首次提出了一个能够精确描述分布式应变感测光纤–土体界面渐进性破坏过程的弹–塑性力学模型(图2),以及基于应变梯度的纤–土界面应力状态估算方法,并建立了地质体变形监测读数有效性的判据体系。该成果对土体变形监测及地质灾害预警预报具有重要的意义。

该研究成果近期以“Role of the interface between distributed fibre optic strain sensor and soil in grounddeformation measurement”为题发表于 Scientific Reports (DOI: 10.1038/srep36469)。该工作得到了国家自然科学基金重点项目(41230636)、面上项目(41672277)和青年基金项目(41302217)的资助。

论文链接:http://www.nature.com/articles/srep36469


1纤–土界面变形破坏过程中感测光纤的应变分布特征及其演化过程



2描述纤–土界面渐进性破坏过程的弹–塑性力学模型